0
Skip to Content
Bandon Schools Deserve Better
Home
The Issues
Our Vision
Our Demands
Fact Check
News Stories & Updates
Videos
Formal Complaints
Formal Complaint: Regarding Violations of ORS 279B
Formal Complaint: Regarding concerns about employee classification, compensation practices...
Formal Complaint: Constructive Termination of BSD Employees
Formal Complaint re: Safety, Ethics and Workplace Conduct Concerns
Formal Complaint: Director of Operations Outsized Salary
Formal Complaint to Reconsider Asbestos Violations
Formal Complaint Re: Board Governance
Formal Complaint re: Board Inaction on Third Party Investigation
Formal Complaint: Jon Sullivan 12/19/25
Formal Complaint: $5 Million Transfer to Banner Bank
Formal Complaint re: Board Quorum and Mishandling of Sullivan Complaint
Formal Complaint - Fiscal Concerns & Almira
Formal Complaint Against Board Chair
Formal Complaint to the Board from BEA
Formal Complaint: Improper Handling of Asbestos
Formal Complaint to Board re: Constructive Termination of Former Employees
Formal Complaint to Board re: BEA Work Session & Board Recusals (September 2025)
Formal Complaint to Board re: Involuntary Transfers (August 2025)
Public Letters
BSDB Community Survey Results
*NEW* Cynthia Hoggart Public Email
*NEW* Letter to the School Board from Jessica Markham-Brink 2/9/26
Letter to Board re: Superintendent Investigation and Board Chair Recusal
Letter to the School Board from Jessica Markham-Brink 1/12/26
Letters to the Board from Gina Alcock re: Special Needs Students
Public Comment from Rebecca Farrell 11/17/25
Letter from Chico Robinson (OEA) re: Workplace Survey at BSD
Community Response to the 11/10/25 Board Statement
Letter to the Board from BEA re: Briana Hutchens Open Letter
Teacher Statements from Level 4 Grievance Hearing
Impact Statement from BEA re: Unethical Bargaining Tactics
Letter of Resignation from Ashley Pearson
Letter to the Board from Amanda Looney
Letter to the Board from Karina Taylor re: BEA Vote of No Confidence
Letter to the Board from Catherine Scobby
Letter to the Board from Jennifer Shipp
Letter to the Board from Karina Taylor
Letter to the Board from Katherine Elstrom
Letter to the Editor #1 from Ann Kellogg
Letter to the Editor #2 by Ann Kellogg
Letter to the Board from Zoë Bradbury DeSurra
Letter to the Superintendent and High School Principal re: Science Classes
Letter of Recommendation for Chris Trevisiol
Resignation Letter, Chris Trevisiol
Get Involved
Contact
Open Menu
Close Menu
Bandon Schools Deserve Better
Home
The Issues
Our Vision
Our Demands
Fact Check
News Stories & Updates
Videos
Formal Complaints
Formal Complaint: Regarding Violations of ORS 279B
Formal Complaint: Regarding concerns about employee classification, compensation practices...
Formal Complaint: Constructive Termination of BSD Employees
Formal Complaint re: Safety, Ethics and Workplace Conduct Concerns
Formal Complaint: Director of Operations Outsized Salary
Formal Complaint to Reconsider Asbestos Violations
Formal Complaint Re: Board Governance
Formal Complaint re: Board Inaction on Third Party Investigation
Formal Complaint: Jon Sullivan 12/19/25
Formal Complaint: $5 Million Transfer to Banner Bank
Formal Complaint re: Board Quorum and Mishandling of Sullivan Complaint
Formal Complaint - Fiscal Concerns & Almira
Formal Complaint Against Board Chair
Formal Complaint to the Board from BEA
Formal Complaint: Improper Handling of Asbestos
Formal Complaint to Board re: Constructive Termination of Former Employees
Formal Complaint to Board re: BEA Work Session & Board Recusals (September 2025)
Formal Complaint to Board re: Involuntary Transfers (August 2025)
Public Letters
BSDB Community Survey Results
*NEW* Cynthia Hoggart Public Email
*NEW* Letter to the School Board from Jessica Markham-Brink 2/9/26
Letter to Board re: Superintendent Investigation and Board Chair Recusal
Letter to the School Board from Jessica Markham-Brink 1/12/26
Letters to the Board from Gina Alcock re: Special Needs Students
Public Comment from Rebecca Farrell 11/17/25
Letter from Chico Robinson (OEA) re: Workplace Survey at BSD
Community Response to the 11/10/25 Board Statement
Letter to the Board from BEA re: Briana Hutchens Open Letter
Teacher Statements from Level 4 Grievance Hearing
Impact Statement from BEA re: Unethical Bargaining Tactics
Letter of Resignation from Ashley Pearson
Letter to the Board from Amanda Looney
Letter to the Board from Karina Taylor re: BEA Vote of No Confidence
Letter to the Board from Catherine Scobby
Letter to the Board from Jennifer Shipp
Letter to the Board from Karina Taylor
Letter to the Board from Katherine Elstrom
Letter to the Editor #1 from Ann Kellogg
Letter to the Editor #2 by Ann Kellogg
Letter to the Board from Zoë Bradbury DeSurra
Letter to the Superintendent and High School Principal re: Science Classes
Letter of Recommendation for Chris Trevisiol
Resignation Letter, Chris Trevisiol
Get Involved
Contact
Open Menu
Close Menu
Home
The Issues
Our Vision
Our Demands
Fact Check
News Stories & Updates
Videos
Folder:
Formal Complaints
Back
Formal Complaint: Regarding Violations of ORS 279B
Formal Complaint: Regarding concerns about employee classification, compensation practices...
Formal Complaint: Constructive Termination of BSD Employees
Formal Complaint re: Safety, Ethics and Workplace Conduct Concerns
Formal Complaint: Director of Operations Outsized Salary
Formal Complaint to Reconsider Asbestos Violations
Formal Complaint Re: Board Governance
Formal Complaint re: Board Inaction on Third Party Investigation
Formal Complaint: Jon Sullivan 12/19/25
Formal Complaint: $5 Million Transfer to Banner Bank
Formal Complaint re: Board Quorum and Mishandling of Sullivan Complaint
Formal Complaint - Fiscal Concerns & Almira
Formal Complaint Against Board Chair
Formal Complaint to the Board from BEA
Formal Complaint: Improper Handling of Asbestos
Formal Complaint to Board re: Constructive Termination of Former Employees
Formal Complaint to Board re: BEA Work Session & Board Recusals (September 2025)
Formal Complaint to Board re: Involuntary Transfers (August 2025)
Folder:
Public Letters
Back
BSDB Community Survey Results
*NEW* Cynthia Hoggart Public Email
*NEW* Letter to the School Board from Jessica Markham-Brink 2/9/26
Letter to Board re: Superintendent Investigation and Board Chair Recusal
Letter to the School Board from Jessica Markham-Brink 1/12/26
Letters to the Board from Gina Alcock re: Special Needs Students
Public Comment from Rebecca Farrell 11/17/25
Letter from Chico Robinson (OEA) re: Workplace Survey at BSD
Community Response to the 11/10/25 Board Statement
Letter to the Board from BEA re: Briana Hutchens Open Letter
Teacher Statements from Level 4 Grievance Hearing
Impact Statement from BEA re: Unethical Bargaining Tactics
Letter of Resignation from Ashley Pearson
Letter to the Board from Amanda Looney
Letter to the Board from Karina Taylor re: BEA Vote of No Confidence
Letter to the Board from Catherine Scobby
Letter to the Board from Jennifer Shipp
Letter to the Board from Karina Taylor
Letter to the Board from Katherine Elstrom
Letter to the Editor #1 from Ann Kellogg
Letter to the Editor #2 by Ann Kellogg
Letter to the Board from Zoë Bradbury DeSurra
Letter to the Superintendent and High School Principal re: Science Classes
Letter of Recommendation for Chris Trevisiol
Resignation Letter, Chris Trevisiol
Get Involved
Contact
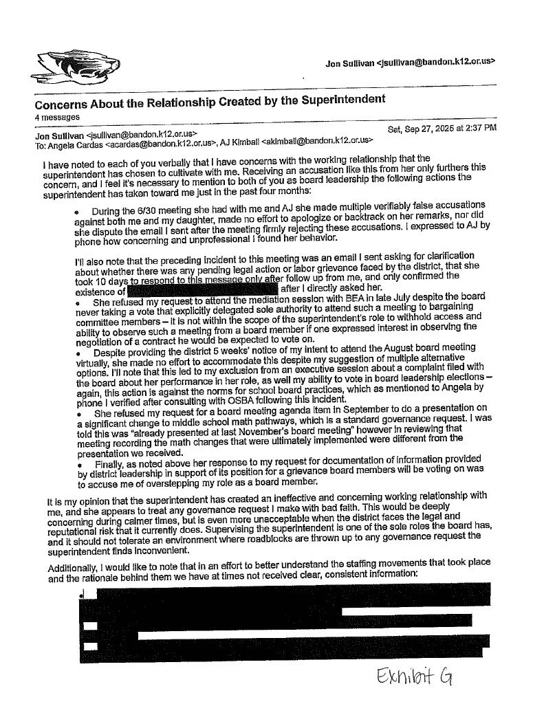
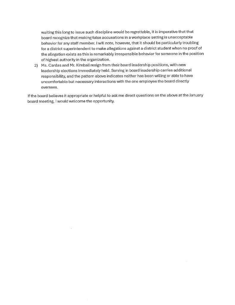
Formal Complaint: Jon Sullivan 12-19-25